Guide to Harmonics
with AC Variable Frequency Drives
Contents
- Introduction
- Basics of the harmonics phenomena
- Harmonic distortion sources and effects
- Harmonic distortion calculation by using DriveSize software
- Circuit diagram for the calculation example
- Input data for motor load
- Motor selection
- Inverter selection
- Inverter supply unit data
- Network and Transformer data input
- Calculated harmonic current and voltage
- Calculated harmonic currents in graphical form
- Part of the printed report
- Standards for harmonic limits
- EN61800-3 (IEC1800-3) Adjustable speed electrical power drive systems
- IEC1000-2-2, Electromagnetic compatibility (EMC)
- IEC1000-2-4, Electromagnetic compatibility (EMC)
- IEC1000-3-2, Electromagnetic compatibility (EMC)
- IEC1000-3-4, Electromagnetic compatibility (EMC)
- IEEE519, IEEE Recommended practices and requirements for harmonic control in electrical power systems
- Evaluating harmonics
- How to reduce harmonics by structural modifications in the AC drive system
- Factors in the AC drive having an effect on harmonics
- Table: List of the different factors and their effects
- Using 6-pulse diode rectifier
- Using 12-pulse or 24-pulse diode rectifier
- Using phase controlled thyristor rectifier
- Using IGBT bridge
- Using larger DC or AC inductor
- Other methods for harmonics reduction
- Tuned single arm passive filter
- Tuned multiple arm passive filter
- External active filter
- Summary of harmonics attenuation
- 6-pulse rectifier without inductor
- 6-pulse rectifier with inductor
- 12-pulse rectifier with polygon transformer
- 12-pulse with double wound transformer
- 24-pulse rectifier
- Active IGBT rectifier
- Definitions
Guide to Harmonics with AC Drives
Definitions
| S: | Apparent power |
| P: | Active power |
| Q: | Reactive power |
| Rsc: | Short circuit ratio is defined as the short circuit power of the supply at PCC to the nominal apparent power of the equipment under consideration. Rsc = Ss / Sn. |
| w1: | Angular frequency of fundamental component w1 = 2*p*f1, where f1 is fundamental frequency (eg. 50Hz or 60Hz). |
| n: | Integer n = 2, 3, … �. Harmonic frequencies are defined as wn = n*w1. |
| In: | RMS-value of n:th harmonic component of line current. |
| Zn: | Impedance at frequency n*w1. |
| %Un: | Harmonic voltage component as a percentage of fundamental (line) voltage. |
| THD: | Total Harmonic Distortion in the input current is defined as:![]() where I1 is the rms value of the fundamental frequency current. The THD in voltage may be calculated in a similar way. Here is an example for the 25 lowest harmonic components with the theoretical values: ![]() THD = 29% |
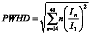
| PWHD: | Partial weighted harmonic distortion is defined as:![]() |
| PCC: | Point of Common Coupling is defined in this text as such a point of utility supply which may be common to the equipment in question and other equipment. There are several definitions of PCC in different standards and even more interpretations of these definitions in literature. The definition chosen here is seen as technically most sound. |
| PF: | Power Factor defined as PF = P/S (power / voltampere) = I1 / Is * DPF (With sinusoidal current PF equals to DPF). |
| DPF: | Displacement Power Factor defined as cosf1, where f1 is the phase angle between the fundamental frequency current drawn by the equipment and the supply voltage fundamental frequency component. |
Guide to Harmonics

